CAS No. 6419-19-8
Molecular Formula:
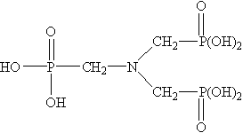
N(CH2PO3H2)3
Molecular weight: 299.05
Structural Formula:

Properties:
ATMP has excellent chelation,
low threshold inhibition and lattice distortion ability. It
can prevent scale formation, calcium carbonate in
particular, in water system.
ATMP has good chemical stability
and is hard to be hydrolyzed in water system. At high
concentration, it has good corrosion inhibition.
ATMP is used in industrial
circulating cool water system and oilfield water pipeline in
fields of thermal power plant and oil refinery plant.
ATMP can decrease scale formation and inhibit corrosion
of metal equipment and pipeline.
ATMP can be used as chelating
agent in woven and dyeing industries and as metal surface
treatment agent.
The solid state of
ATMP
is crystal powder, soluble in water, easily deliquescence,
suitable for usage in winter and freezing districts. Because
of its high purity, it can be used in woven & dyeing
industries and as metal surface treatment agent.
Specification:
| Items |
Index |
| Standard |
Solid |
| Appearance |
Clear, Colorless to pale yellow aqueous solution |
White crystal powder |
| Active acid % |
50.0 min |
95.0 min |
| Chloride (as Cl-)% |
1.0 max |
1.0 max |
| pH (1% water solution) |
2.0 max |
2.0 max |
| Fe, mg/L |
20.0 max |
20.0 max |
| Density (20℃)g/cm3 |
1.30 min |
- |
Usage:
ATMP
is usually used together
with organophosphoric acid, polycarboxylic acid and salt to
built all organic alkaline water treatment agent.
ATMP
can be used in many different
circulating cool water system. The dosage of 1-20mg/L is
recommended. As corrosion inhibitor, the dosage of 20-60mg/L
is preferred.
Package and Storage:
ATMP liquid:200L plastic drum,IBC(1000L),customers' requirement.
ATMP solid: 25kg/bag, customers' requirement.
Storage for ten months in shady room and dry place.
Safety Protection:
Acidity, Avoid contact with eye and skin,
once contacted, flush with water.
Synonyms:
ATMP;ATMPA;AMP
Amino Trimethylene Phosphonic Acid;
Amino Tri(Methylene Phosphonic Acid);
Tris(Methylene Phosphonic Acid) Amine;
Nitrilotrimethylphosphonic Acid(NTP);
Nitrilotrimethylenetris(Phosphonic Acid);