CAS No.: 164462-16-2
Molecular Formula: C7H8NNa3O6
Molecular weight: 271.11
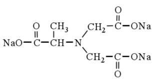
Structural Formula:

Property and Usage:
Green chelating agent MGDA.Na3 as chelating agent, is applicable to a variety of fields. Meanwhile, it has excellent toxicological safety property and stable biodegradability.
As a metal ion chelating agent, MGDA.Na3 can chelate metal ions to form stable soluble complexes.
MGDA.Na3 can be used in wide pH scope, and create synergistic effect with boicides in the system.
MGDA.Na3 can work as substitute for salts of phosphonates, NTA, EDTA, citrate and the other chelating agents in detergent.
MGDA.Na3 is a stablizer for sodium perborate and sodium percarbonate and effective builder in non-phosphor detergent formulation.
MGDA.Na3 was proofed as high-efficiency bleaching and stubborn strains removing ability in commercial non-phosphor dishwashing formulations.
MGDA.Na3 has wonderful clean ability in high efficiency washing powder, washing liquid and soap detergent, e.g. after adding
MGDA.Na3 into various soaps, it has the effect to prevent rancidity, color change and dirt precipitation.
MGDA.Na3 is used as scale remover and scale inhibitor to prevent scale formulation and soften water, which can also resolve metal salts and hydroxide to clean indissolvable salt scales in various industries.
Specification:
| Item |
Index |
|
Appearance |
Colorless to light yellow transparent liquid |
|
Content % |
40.0 min |
|
Chloride % |
5.0 max |
|
pH (1% water solution) |
10.0-12.0 |
|
Density g/cm3 |
1.30 min |
Character:
The main character of MGDA.Na3 is excellent chelating ability, which can replace traditional chelating agents.
The dosage should be adjusted according to actual application and effects.
The typical chelating values are as follows:
60 mg Ca2+/g MGDA.Na3,
95 mg Cu2+/g MGDA.Na3,
95 mg Zn2+/g MGDA.Na3,
80 mg Fe2+/g MGDA.Na3,
35 mg Mg2+/g MGDA.Na3,
80 mg Mn2+/g MGDA.Na3.
Package and Storage:
The package is 250 KG/plastic drum or
according to customer’s request.
Storage for ten months in room shady and dry
place.
Safety and Protection:
Weak alkaline, avoid contact with eye and skin, once contacted, flush with water.
Synonyms:
Trisodium Methylglycine-N,N-Diacetic
Acid(MGDA.Na3)
N,N-Bis (Carboxylatomethyl) Alanine Trisodium
Salt
Trisodium N-(1-Carboxylatoethyl) Iminodiacetate
Trisodium Dicarboxymethyl Alaninate; Alanine, N,N-bis(carboxymethyl)-, trisodium
salt
N,N-Bis (carboxymethyl)-DL-alanine, trisodium
salt
DL-Alanine -N,N-diacetic acid trisodium salt